行業關注 - 那些年,有關NMN的臨床試驗

人口老齡化是最大的全球挑戰之一,據聯合國報道到2050年,世界60歲以上人口的比例將幾乎翻一番。衰老的必然過程導致了各種生理功能下降,包括運動功能、視力、聽力、免疫和認知功能。這些下降進一步導致與衰老相關的疾病,如糖尿病、癌癥和癡呆癥。
100多年前,NAD+被發現是真核生物中非常重要的代謝氧化還原輔酶,是大量酶促反應的重要組成部分,現在認為人體內的NAD+水平會隨著衰老而耗盡,它與線粒體能量產生的下調、氧化應激、DNA損傷、認知障礙和炎癥狀況有關。然而,NMN作為NAD+的前體,可以通過提高體內NAD+水平來減緩這一過程。
近年來,NMN作為可口服的NAD+前體被廣泛研究,在保健食品市場熱度高居不下,美國大規模地批準了NMN的研發和生產,擁有全世界最為龐大的NMN研發與生產體系;日本則是最早進行NMN人體臨床試驗的國家,并且已經批準NMN進入健康食品的原料目錄,向全社會推廣。
NMN動物實驗在世界范圍內自2013年后快速增長,每年發表論文的數量都達到1,000篇以上。從2021年開始,美國和日本的科研團隊率先填補了NMN人體臨床試驗的空白。迄今為止,已有四項臨床試驗檢查了NMN對人類口服給藥的安全性和有效性。這些研究表明,口服NMN總體上是安全且可耐受的。

2020年日本公布了一項臨床試驗,以調查10名健康男性單次 NMN給藥的安全性。

通過單次口服100、250和500mgNMN進行單臂非隨機干預。每次干預后5小時研究臨床發現和參數以及NMN代謝物的藥代動力學。干預前后還進行了眼科檢查和睡眠質量評估。單次口服NMN不會引起任何明顯的臨床癥狀或心率、血壓、氧飽和度和體溫的變化。實驗室分析結果沒有顯示出顯著變化,除了血清膽紅素水平升高和血清肌酐、氯化物和血糖水平降低在正常范圍內,與NMN的劑量無關。眼科檢查和睡眠質量評分結果顯示干預前后無差異。N-methyl-2-pyridone-5-carboxamide 和N-methyl-4-pyridone-5-carboxamide 的血漿濃度通過 NMN給藥劑量依賴性顯著增加。
試驗證明,單次口服NMN在健康男性中是安全且有效的代謝,不會造成任何顯著的有害影響。因此,發現NMN的口服給藥是可行的,這暗示了一種潛在的治療策略來減輕人類與衰老相關的疾病。

2021年4月22日,來自華盛頓大學醫學院人類營養中心的Samuel Klein研究團隊在Science上發表題為Nicotinamide mononucleotide increases muscle insulin sensitivity in prediabetic women的研究文章,他們的研究結果顯示NMN可以增強受試人群肌肉組織的胰島素敏感性。

研究團隊進行了一項為期10周的隨機、安慰劑對照、雙盲試驗,以評估補充NMN對超重或肥胖的絕經后前驅糖尿病婦女代謝功能的影響。胰島素刺激的葡萄糖處理(通過使用高胰島素-正常血糖鉗進行評估)和骨骼肌胰島素信號傳導在補充NMN后增加,但在安慰劑治療后沒有改變。NMN補充劑上調了血小板衍生生長因子受體 β 和其他與肌肉重塑相關的基因的表達。

這些結果表明,NMN增加了超重或肥胖的前驅糖尿病女性的肌肉胰島素敏感性、胰島素信號傳導和重塑。

2021年有研究團隊調查了運動訓練和NMN對健康業余跑步者心血管健康的影響。

在這項研究中,研究團隊進行了為期六周的隨機、雙盲、安慰劑對照、四臂臨床試驗,包括廣州珠江跑步隊的48名中青年休閑訓練跑者。參與者被隨機分為四組:低劑量組(300毫克/天NMN)、中劑量組(600毫克/天NMN)、高劑量組(1200毫克/天NMN)和對照組(安慰劑)。每組由十名男性參與者和兩名女性參與者組成。每次訓練40-60分鐘,跑者每周訓練5-6次。在基線和干預后6周進行心肺運動測試,以評估跑步者的有氧能力。

研究結果表明,運動訓練結合補充NMN可進一步提高業余跑步者的通氣閾值,其益處與劑量相關且與肌肉相關。有氧能力的提高呈劑量依賴性,大劑量的NMN配合運動效果更好。

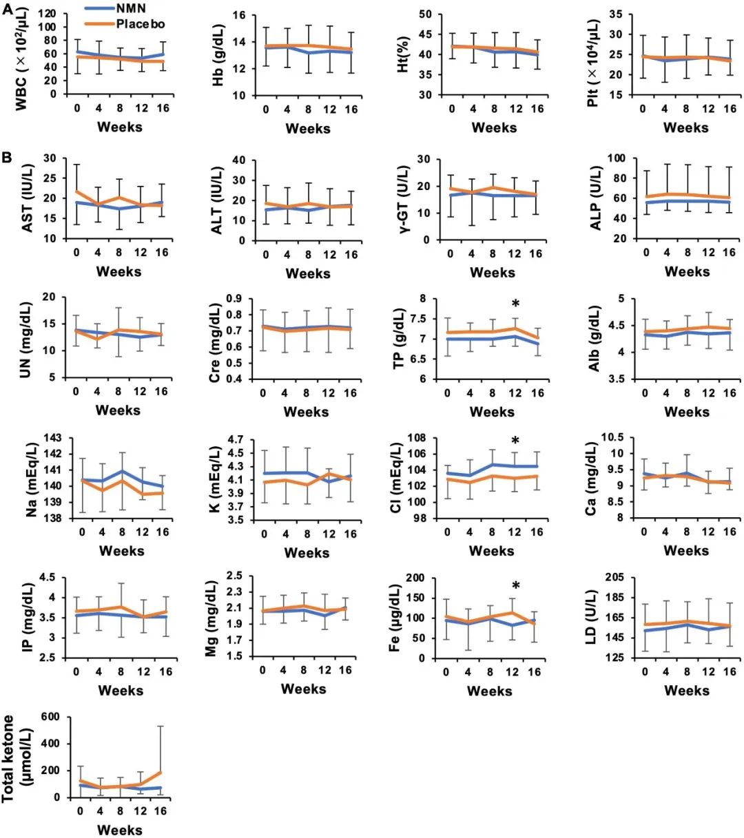
2022年4月份,日本公布了一項NMN安全且有效地增加健康受試者的血液NAD+水平的試驗結果。

研究招募了42名健康的日本成年志愿者進行慰劑對照、隨機、雙盲、平行組試驗,健康志愿者每天接受250mgNMN(n=15)或安慰劑(n=15),持續12周,在此期間進行生理和實驗室測試。此外,還檢測了全血中的 NAD +及其相關代謝物。

在第 0 周(開始服用NMN或安慰劑之前)、第 4 周、第 8 周、第 12 周和第 16 周(結束服用NMN或安慰劑后4周)進行血液檢查。NMN組與安慰劑組除12周時的總蛋白、血清氯化物和血清鐵均在正常范圍內外,無顯著差異。肝酶、腎功能、其他血清電解質和全血細胞計數均在正常范圍內,NMN 組和安慰劑組之間沒有顯著差異。

▲在NMN口服給藥安全性評估的實驗室數據中未觀察到不良事件
試驗數據表明,口服 250 毫克/天的 NMN 12 周對健康人來說既可以耐受又安全。
在第 0 周(開始施用 NMN 或安慰劑之前)、4、8、12 和 16 周(完成施用 NMN 或安慰劑后 4 周)進行全血中 NAD 代謝組的測量。在本研究中,NAD+、NMN、NAM、NA、NAMN、NAR、NAAD 和 MNAM的量是在富山大學通過 LC/MS 測量的。NMN組和安慰劑組在基線(0 周)的全血NAD代謝組水平具有可比性。口服NMN或安慰劑后,NMN 治療組的NAD+水平在 4、8、12 周時顯著增加,然后在16 周后恢復到基礎水平。這一結果也得到了個別數據的證實,這些數據顯示了NMN治療組中NAD+水平的橋形轉變。相比之下,NMN或安慰劑給藥后NMN水平沒有增加,并且在兩組之間具有可比性。
此外,兩組之間的NR和NAM水平沒有顯著變化。值得注意的是,NMN組的NAMN水平在4、8和12周時顯著增加,然后在16周時恢復到基礎水平。NMN組NAMN水平的個體數據也顯示出類似于NAD+的橋形過渡水平。在本研究中,NA、NAR、NAAD 和 MNAM 水平在兩組之間在任何時間點均保持不變。

▲口服NMN增加了血液中NAD+和NAMN的水平
本次試驗證明,每天服用250毫克NMN,持續12周對健康個體來說是一種安全且耐受性良好的做法。此外,在NMN治療組中,全血中的NAD+水平顯著增加。這些結果表明,口服NMN是安全的,并且可以成為提高人體NAD+水平的實用策略。

*特別說明 - 本文僅作資訊科普用途,不能代替醫生的治療診斷和建議,不應被視為對所涉醫療產品的推薦或功效證明。涉及疾病診斷、治療、康復相關的,請務必前往專業醫療機構就診,尋求專業意見。